Multiplicação de uma fração por um número inteiro
Qual é o dobro de 3/8?
Uma outra forma de representar esta operação é transformando o número inteiro em uma fração acrescentando o número 1 ao denominador. Veja:
De forma semelhante temos 1/3 multiplicado por 12.
Multiplicação de uma fração por uma outra fração
Qual a quantidade correspondente a 2/3 de 4/5? Veja a resolução.
👉Na multiplicação de frações, multiplicamos os numeradores e multiplicamos os denominadores. 😉
Outro exemplo é encontra a metade de 3/4. Vejamos a solução.
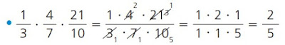
Veja outros exemplos:
Também podemos fazer a simplificação antes de efetuar o produto:
Situações - Problema
1) Marília comeu 1/4 da metade de uma melancia. Que fração da melancia ela comeu?
R: Ela comeu 1/8 da melancia
2) Uma lata de achocolatado tem 3/4 kg. Quantos quilogramas terão 8 latas?
R: Um total de 6 kg
Agora é sua vez
Calcule os resultados:
a) 1/3 de 180 ovos;
b) 2/3 de 180 ovos;
c) 2/5 de 30 homens;
d) 3/4 de 24 meses;
e) (2/3)²
f) (1/3)³
Caderno do Aluno
e) (2/3)²
f) (1/3)³
Caderno do Aluno
a) Juliana tinha 230 amigos em uma rede social e percebeu que 2/5 deles saíram por receio de terem os seus dados divulgados. Calcule quantos amigos de Juliana saíram da sua rede social e responda se você também tem receio que seus dados sejam divulgados.
Calcular
2/5. 230 = 460/5 = 92
amigos saíram e a resposta final é aberta para discussão sobre os perigos da rede social, para essa discussão organize uma roda de conversa.
b) Fábio e Carlos juntos tinham 36 bolinhas de gude. Ao final de uma partida, decidiram separar e contar a quantidade de bolinhas de gude que tinha restado para cada um. Fábio ganhou 1/3 e Carlos, 2/3. Quantas bolinhas ficaram com cada um?
Calcular as bolinhas de Fábio: 1/3 de 36
1/3. 36 = 36/3 = 12
bolinhas de gude. Calcular as bolinhas de Carlos: 2/3 de 36
2/3. 36 = 72/3 = 24
bolinhas de gude. Fábio ficou com 12 bolinhas e Carlos com 24 bolinhas de gude.
É importante mostrar para o aluno que a soma de bolinhas de Carlos e Fábio
totalizam o todo, ou seja 36, assim como a soma das frações de ambos totalizam 1.
É importante mostrar para o aluno que a soma de bolinhas de Carlos e Fábio
totalizam o todo, ou seja 36, assim como a soma das frações de ambos totalizam 1.
c) De um pacote de 60 balas, 3/4 foram doados. Quantas balas restaram no pacote?
3/4de 60
3/4de 60
3/4. 60 = 180/4 = 45
balas doadas. Para calcular a quantidade de balas 60 – 45 = 15 balas que restaram no pacote.
Outra resolução é calcular 4/4 - 3/4 = 1/4, após isso basta calcular 1/4 de 60
Outra resolução é calcular 4/4 - 3/4 = 1/4, após isso basta calcular 1/4 de 60
1/4 . 60 = 15 balas.














